为推进健康中国战略,贯彻落实《关于印发<健康上海行动(2019-2030年)>的通知》(沪健促委〔2019〕4号)、《上海市人民政府关于深入推进爱国卫生运动的实施意见》(沪府发〔2021〕6号)文件精神,提升全市居民健康素养水平,根据国家卫生健康委关于做好2024年健康素养促进和居民健康素养监测项目工作的有关要求,在上海市推进实施居民健康素养监测项目,现就有关事项通知如下:
按照2024年国家级和上海市居民健康素养监测方案,在16个区的15至69岁常住人口中开展监测。各区严格按要求完成监测工作,保证监测质量,及时报送监测数据,同时加强数据分析利用(2024年上海市国家健康素养监测工作方案和2024年上海市居民健康素养监测工作方案详见附件)。
二、组织保障
(一)职责分工
市、区卫生健康委负责组织协调和督导考核,统筹协调,开展监督指导和评估反馈。
市健康促进中心发挥技术指导和专业支持作用,负责组织实施、人员培训、质量控制、日常管理和考核评估等,提高监测质量和效率。
各区疾病预防控制机构、健康教育与健康促进机构根据本方案要求,落实开展并提供技术支持,配合区卫生健康委开展监督评估。
各实施单位应严格落实工作方案并细化工作目标,明确时间进度,完善工作措施,建立工作责任制,按照要求全面完成各项工作任务。
(二)考核评估
各区卫生健康委要将健康素养监测工作列入年度目标责任制考核,加强资料收集和信息宣传,确保工作有底数、有进展和有效果。
三、联系方式
(一)市卫生健康委
联系人: 郗老师
电 话:23117827
(二)市健康促进中心
联系人:陈润洁、胡亚飞
电 话:34198189、34198120
邮 箱:wuxiaoyu@wsjkw.sh.gov.cn
上海市卫生健康委员会
2024年4月18日
附件1
2024年上海市国家健康素养监测工作方案
为贯彻落实《“健康中国2030”规划纲要》《健康中国行动(2019-2030年)》等文件要求,掌握我国居民健康素养水平变化趋势,国家卫生健康委启动2024年健康素养促进和居民健康素养监测项目,在全国开展健康素养监测工作,具体方案如下:
一、监测目的
(一)了解城乡居民健康素养水平和变化趋势;
(二)分析城乡居民健康素养影响因素,确定优先工作领域;
(三)评价卫生健康政策、健康教育工作效果;
(四)为制定卫生健康相关政策提供科学依据。
二、监测方法
(一)监测对象
非集体居住的15~69岁城乡常住居民。
常住居民指过去12个月内在上海居住时间累计超过6个月的居民,不考虑是否具有上海户籍,不包括居住在医院、养老院、学校集体宿舍等场所的居民。
(二)监测范围
全国31个省(自治区、直辖市)336个区(县),不包括港、澳、台地区。
(三)抽样原则
1.国家级监测点总数共计336个,其中上海市监测点总数共计8个:黄浦区、徐汇区、长宁区、虹口区、杨浦区、闵行区、松江区和青浦区。
2.以城乡进行分层,监测点和监测样本具有全国代表性。
3.考虑可行性及经济有效性,采用分层多阶段、PPS、整群抽样相结合的方法。
4.考虑健康素养水平在家庭户中的聚集性,1个家庭户只调查1名符合条件的家庭成员。
(四)抽样方法
1.样本量计算
2024年全国健康素养监测样本量计算方法、样本抽取方法与2023年一致,即每个监测区抽取3个街道(乡镇),每个街道(乡镇)抽取2个居委会(村),每个居委会(村)抽取1个片区(约750个家庭户),每个片区抽取55个家庭户,每户抽取1名15~69岁常住人口作为调查对象,每个片区内完成40份调查为止。每个监测区预计调查240人,上海计划调查1920人。
2.抽样步骤
第一阶段抽样:以31个省(自治区、直辖市)为单位,每省(自治区、直辖市)按照城乡分层,采用与人口规模成比例的整群抽样方法(PPS法),随机抽取监测区(县),全国共抽取336个区(县)监测点,上海市共抽取8个区监测点。人口规模信息采用家庭户总数,数据源自全国第七次人口普查。
第二阶段抽样:上海市健康促进中心收集抽中区内的街道(乡镇)名称及家庭户总数信息,使用PPS法在每个监测区内随机抽取3个街道(乡镇),全市共抽取24个街道(乡镇)。
第三阶段抽样:监测点收集每个抽中街道(乡镇)内的居委会(村)名称及家庭户总数信息,上报至上海市健康促进中心,上海市健康促进中心使用PPS法随机抽取2个居委会(村)。每个监测点抽取6个居委会(村),全市共抽取48个居委会(村)。
抽取居委会(村)之前,将家庭户数在750户以下的居委会(村)与相邻的居委会(村)进行合并,直到所有抽样单位家庭户总数均在750~1500户之间。
如果乡镇(街道)所辖村(居委会)人口规模较小,4~5个村(居委会)合并仍达不到750户的,可将抽样单位户数降低至500户左右。如果仍不能达到500户,请各区与上海市健康促进中心联系,根据具体情况确定合并方案。
第四阶段抽样:监测点对抽中的居委会(村)进行绘图列表,并将地图和家庭户信息(家庭户列表)上报至上海市健康促进中心。上海市健康促进中心在每个居委会(村)内随机抽取55个家庭户。
第五阶段抽样:调查员在每个抽中的家庭户内,收集家庭成员信息,按照KISH表方法随机抽取15~69岁常住人口1人使用平板电脑开展调查,直到该居委会(村)在抽取的55个家庭户内完成40份调查为止,全市共计调查1920人。
(五)监测内容
采用问卷调查的方式了解监测对象的健康素养水平,主要内容包括基本健康知识和理念、健康生活方式与行为、基本技能3个方面。
(六)现场调查
使用平板电脑开展入户调查,问卷由调查对象自填完成,如调查对象不能独立完成填写,则采用面对面询问方式调查。
各监测点成立现场调查工作组,确定负责人、协调员、调查员、质控员及数据管理员,明确工作职责。通过收集抽样信息的过程与被调查对象建立联系,取得其同意和配合。准备调查所需用品,打印调查对象名单。
现场调查完成后,将调查相关资料统一上报至区级健康教育专业机构。区级健康教育专业机构收集、整理监测点上报数据,上报区卫生健康委认可盖章后,提交至上海市健康促进中心。
三、质量控制
(一)调查前质量控制
现场调查要严格遵循指定的抽样方法完成逐级抽样,直至抽取调查对象。上海市健康促进中心负责培训区级及街道(乡镇)调查工作人员,培训使用统一监测方案和操作手册。
(二)调查阶段质量控制
严格按照监测实施方案开展现场调查。充分取得当地有关机构、调查对象的配合。使用统一的调查问卷进行调查。原则上由调查对象根据自己的理解作答,自行完成调查问卷,调查员不做任何解释。调查对象如有读、写等困难,不能独立完成调查问卷者,则由调查员来询问,根据调查对象的回答情况,调查员帮助填写选项。调查员不能使用诱导性或暗示性语言,如遇被调查人文化水平较低或存在语言障碍时,可作适当解释,但解释要忠于原意。调查员要当场核对问卷,质控人员对当天所有问卷进行复核,并填写质控记录。
国家级在每个省(区、市)随机抽取1个监测点进行复核,上海市健康促进中心对本市所有监测点进行复核。复核方法为:每个监测点抽取15份调查问卷,采用《复核调查表》以现场复核和/或电话复核的方式进行复核调查。监测点不合格问卷比例超过3份,则视为该监测点现场调查工作不合格,必须重新进行调查。
(三)数据处理分析阶段质量控制
国家级和上海市级工作人员对收集的资料进行认真核查。使用数据分析软件对数据进行清理和逻辑校验,对不合格问卷予以剔除。对不合格问卷较多的监测点予以重点核查。
四、组织实施
市卫生健康委负责全市工作的组织实施与监督管理工作。
上海市健康促进中心作为市级执行单位,提供技术支持,负责制定实施方案,组织人员培训,指导执行区现场调查,做好平板电脑调查的质量控制,加强经费管理,专款专用,提高资金使用效益,配合市卫生健康委对执行情况进行督导评估。
各执行区卫生健康委负责本辖区监测工作的组织实施和监督管理工作,落实负责人及调查、质控和数据管理人员,明确工作职责,严格按照实施方案的任务和考核要求组织实施调查,加强监督;积极协调辖区街道(乡镇)、居(村)委会等相关部门,获取支持和配合,以保证按时、优质完成监测任务。有条件的区可以配套相应经费,要按照有关规定加强经费管理,专款专用。
五、进度安排
2024年4月:完成市级培训,完成绘图列表、家庭户抽取。
2024年5-6月:开展现场调查。各区于6月30日前将相关资料提交至上海市健康促进中心。
六、联系人及联系方式
上海市健康促进中心:陈润洁 胡亚飞 021-34198189
邮箱:xxpjb4043@163.com
附:2024年健康素养监测国家点抽样名单(上海市)
附
| 2024年健康素养监测国家点抽样名单(上海市) |
||
| 区(代码) |
街道/乡镇 (代码) |
居委/村(代码) |
| 黄浦区(081) |
外滩街道(1) |
山西+无锡(8) |
| 中山(14) |
||
| 豫园街道(2) |
太都(5) |
|
| 露香(12) |
||
| 打浦桥街道(3) |
建中(1) |
|
| 丽一(8) |
||
| 徐汇区(082) |
枫林路街道(1) |
张家浜居委会(1) |
| 宛南新村第一、二居委会(15) |
||
| 康健新村街道(2) |
茶花桂花居委会(10) |
|
| 长兴坊居委会(22) |
||
| 漕河泾街道(3) |
冠生园居委会(5) |
|
| 金牛居委会(22) |
||
| 长宁区(083) |
华阳路街道(1) |
陶家宅(9) |
| 长二(16) |
||
| 周家桥街道(2) |
范北(1) |
|
| 长宁新城(12) |
||
| 程家桥街道(3) |
二村居委(2) |
|
| 机场居委(7) |
||
| 虹口区(084) |
曲阳路街道(1) |
银联(12) |
| 运二(23) |
||
| 凉城新村街道(2) |
凉三(2) |
|
| 文苑三(14) |
||
| 江湾镇街道(3) |
场中(3) |
|
| 纪念(23) |
||
| 杨浦区(085) |
定海路街道(1) |
白洋淀居委(7) |
| 军工居委(14) |
||
| 长白新村街道(2) |
长白新城(3) |
|
| 长二(1)(12) |
||
| 大桥街道(3) |
锦州(14) |
|
| 幸福村(23) |
||
| 闵行区(086) |
莘庄镇(1) |
水清一村(17) |
| 宝安新苑(48) |
||
| 虹桥镇(2) |
虹鹿(10) |
|
| 龙柏一村二居(28) |
||
| 浦江镇(3) |
宝邸二居委(4) |
|
| 杜行居委(27) |
||
| 松江区(087) |
中山街道(1) |
方东居委会(4) |
| 蓝天五村居委会(14) |
||
| 车墩镇(2) |
华欣社区居委会(8) |
|
| 新晟社区居委会(17) |
||
| 新浜镇(3) |
友谊居委会(3) |
|
| 香塘村+新浜村(6) |
||
| 青浦区(088) |
夏阳街道(1) |
东方社区2(2) |
| 青园社区22(22) |
||
| 练塘镇(2) |
东庄07+徐练08(7) |
|
| 泖甸23(23) |
||
| 华新镇(3) |
嵩山村06+坚强村05(5) |
|
| 陆象村18+新谊村19(18) |
||
附件2
2024年上海市居民健康素养监测工作方案
为贯彻落实《“健康上海2030”规划纲要》《健康上海行动(2019-2030年)》有关要求,掌握上海市各区居民健康素养水平变化趋势,2024年继续开展各区居民健康素养监测工作,具体方案如下。
一、监测目的
1.了解辖区内居民健康素养水平及变化情况;
2.评价本地区健康教育与健康促进工作成效;
3.为辖区内健康教育与健康促进政策制定提供依据;
4.分析城乡居民健康素养影响因素,确定优先工作领域;
5.加强健康教育领域的监测网络及能力建设。
二、监测对象
非集体居住的15岁-69岁城乡常住居民。
常住居民指过去12个月内在上海居住时间累计超过6个月的居民,不考虑是否具有当地户籍,不包括居住在医院、养老院、学校集体宿舍等场所的居民。
三、样本量计算
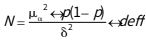
以上一年度本辖区居民健康素养水平为依据,假设为p,依据公式

,计算出每层最小样本量N1。根据国家、上海及各区历年健康素养监测经验,各区健康素养调查设定相对误差d(δ=p×d)应不高于12%,μα=1.96,deff=2。如某区上一年度辖区居民健康素养水平为27%,设定相对误差10%,则该区最小样本量=1.96*1.96*27%*(1-27%)/(27%*10%)2=2077.31,人数需取整,即2078人。
各区可依据辖区内健康素养监测目标进行分层,假设需要分n层,预计有效应答率为M%,则总样本量N0=N1×n/M%。各区可根据自身的实际选择城乡、经济水平分层。如果选择城乡分层,则n=2,如果还选择了经济水平(高、中、低)分层,则n=2×3。
四、抽样步骤
1.样本量分配
样本量分配应遵从平均、平等分配原则。各区根据抽样原则,可以覆盖所有街道(乡镇),也可以随机抽取部分街道(乡镇)作为监测点,建议街道(乡镇)全覆盖,村委/居委的抽取比例应与全区村委/居委实际比例基本一致。
2.抽样
第一阶段抽样:使用PPS系统抽样,区级抽取若干街道(乡镇)作为调查监测点(如全覆盖,可跳过第一阶段抽样)。
第二阶段抽样:使用PPS系统抽样,每个街道(乡镇)监测点抽取2个及以上居委会(村)作为调查监测点。
第三阶段抽样:使用简单随机抽样,每个居委会或村抽取若干调查家庭户(不低于需调查家庭户的1.3倍)作为备调查家庭户。
抽取居委会(村)之前,将家庭户数在750户以下的居委会(村)与相邻的居委会(村)进行合并,直到所有抽样单位家庭户总数均在750~1500户之间。居委会与居委会进行合并,村与村进行合并。如果乡镇(街道)所辖村(居委会)人口规模较小,4~5个村(居委会)合并仍达不到750户的,可将抽样单位户数降低至500户左右。
第四阶段抽样:调查员收集调查家庭户内人口信息,选取15~69岁的城乡常住居民开展调查。若调查点为国家监测点,需按照国家方案抽取规定数量的调查户开展调查。
五、监测方法和内容
1.监测方法:用入户调查方式,问卷由调查对象自填完成,如调查对象不能独立完成填写,则采用面对面询问方式调查。
2.监测内容:各区采用全市统一的健康素养监测问卷,在全区范围内开展本区的居民健康素养监测工作。
六、组织实施
各区制定本辖区代表性的健康素养监测方案,并在实施前提交上海市健康促进中心备案;组织开展本区监测工作的培训、技术指导、现场督导及质量控制;做好数据收集、整理和分析报告的撰写;有条件的区可采用平板电脑开展调查工作。
上海市健康促进中心对本市各区健康素养监测工作进行技术支持;对各区上报的健康素养监测方案进行审核;负责健康素养监测工作的市级培训、技术指导、现场督导及质量控制;做好全市的数据汇总、整理和监测报告的撰写等。
七、进度安排
2024年4月完成市级培训,2024年5月-2024年7月各区根据本区工作安排和时间节点完成绘图列表、家庭户抽取、现场调查、数据收集与复核、数据清洗及分析、区级居民健康素养监测报告撰写等,并于2024年8月31日前将本区本年度居民健康素养监测报告与对应数据库提交至上海市健康促进中心控烟与监测评价部陈润洁处,电子邮件标题请注明“2024年**区健康素养监测”字样)。
八、考核评价
考核评价的主要内容有:
1.监测人员(负责人和实施人员)培训参与情况,包括参与率和合格率;
2.监测规定样本量的完成情况;
3.所有资料上交情况(各区自行设计的方案、数据库、完整报告)。
九、联系人及联系方式
联系人:陈润洁
电话:021-34198189
邮箱:xxpjb4043@163.com
地址:静安区陕西南路122号9楼上海市健康促进中心控烟与监测评价部