沪2023年本科普通批次平行志愿院校专业组投档分数线公布(附相关问答) 2023-07-21 来源:上海发布
市教育考试院介绍,因前序招生录取工作进展顺利,本科普通批次院校专业组投档工作提前至7月21日晚进行。上海市教育考试院公布了2023年上海市普通高校招生本科普通批次院校专业组投档线,并发布相关问答。一起来看。



























相关问答
问:请介绍一下截至目前的高招录取情况?
答:6月23日公布高考成绩后,本市启动高招集中录取工作,截至目前已经完成了强基计划、综合评价批次、零志愿批次、本科提前批次、本科艺体类批次和地方农村专项计划批次等录取工作,共录取考生1.3万余名。各批次录取工作平稳有序,投档录取系统运行正常。
从7月19日,本科普通批次的投档录取工作正式开始,分三个阶段进行:7月19日至21日为模拟投档阶段;7月21日晚,市教育考试院按照各院校专业组实到计划1:1的比例向高校正式投档;7月22日至25日,各高校按照公布的招生章程对投档考生进行专业录取,并将录取结果反馈给市教育考试院进行审核。
2. 问:今年本科普通批次的总体情况如何?
答:本科普通批次是本市高招录取过程中参与考生最多、也是最为重要的一个招生批次。今年有572所院校在本科普通批次开展招生,其中宁夏大学、北京交通大学威海校区、中国石油大学(北京)克拉玛依校区、广东医科大学等院校首次在沪招生。今年整体招生计划比往年略有增加,既确保了本科普通批次录取的稳定,也提升了考生的实际获得感。
3. 问:本科普通批次如何进行投档?
答:本科普通批次按各院校专业组实到计划1:1的比例向高校投档,采用平行志愿的投档方式,执行“分数优先、遵循志愿、一轮投档”原则,将考生按照高考总分由高到低进行排序,然后由投档系统逐一检索考生的志愿。在遇到考生高考总分相同时,则要按照以下规则进行排序投档:
第1位序:比较考生的语文加数学两门合计成绩高低,高者优先;
第2位序:第1位序同分者中,比较考生的语文或数学中单科成绩高低,高者优先;
第3位序:第2位序同分者中,比较考生的外语成绩高低,高者优先;
第4位序:第3位序同分者中,比较考生的选考科目中单科成绩高低,高者优先;
第5位序:第4位序同分者中,比较考生的选考科目中次高科成绩高低,高者优先;
第6位序:第5位序同分者中,比较考生志愿顺序,按各自顺序分别投档。志愿顺序相同的同分同位考生执行同时投档。
4. 问:今年本科普通批次的投档情况如何?
答:从今年的志愿填报及投档情况来看,考生填报的意向较为明确,所填报的志愿有效性较高,院校专业组志愿的投档成功率比较理想。在24个院校专业组志愿中,前11个志愿的总体投档成功率接近90%。从各院校专业组产生的投档线来看,高水平大学的整体位序基本稳定,个别院校专业组间存在一定的分差,主要是由于各专业组间专业属性及选科要求不同形成的分差。
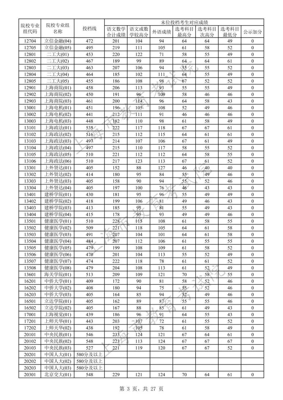
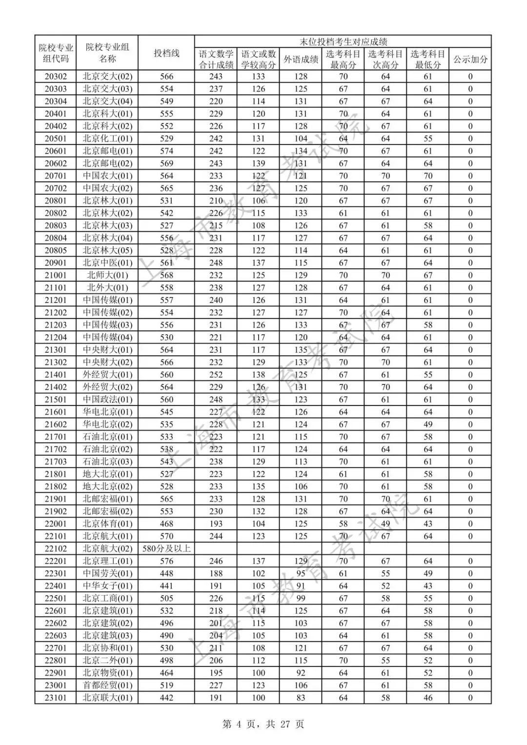
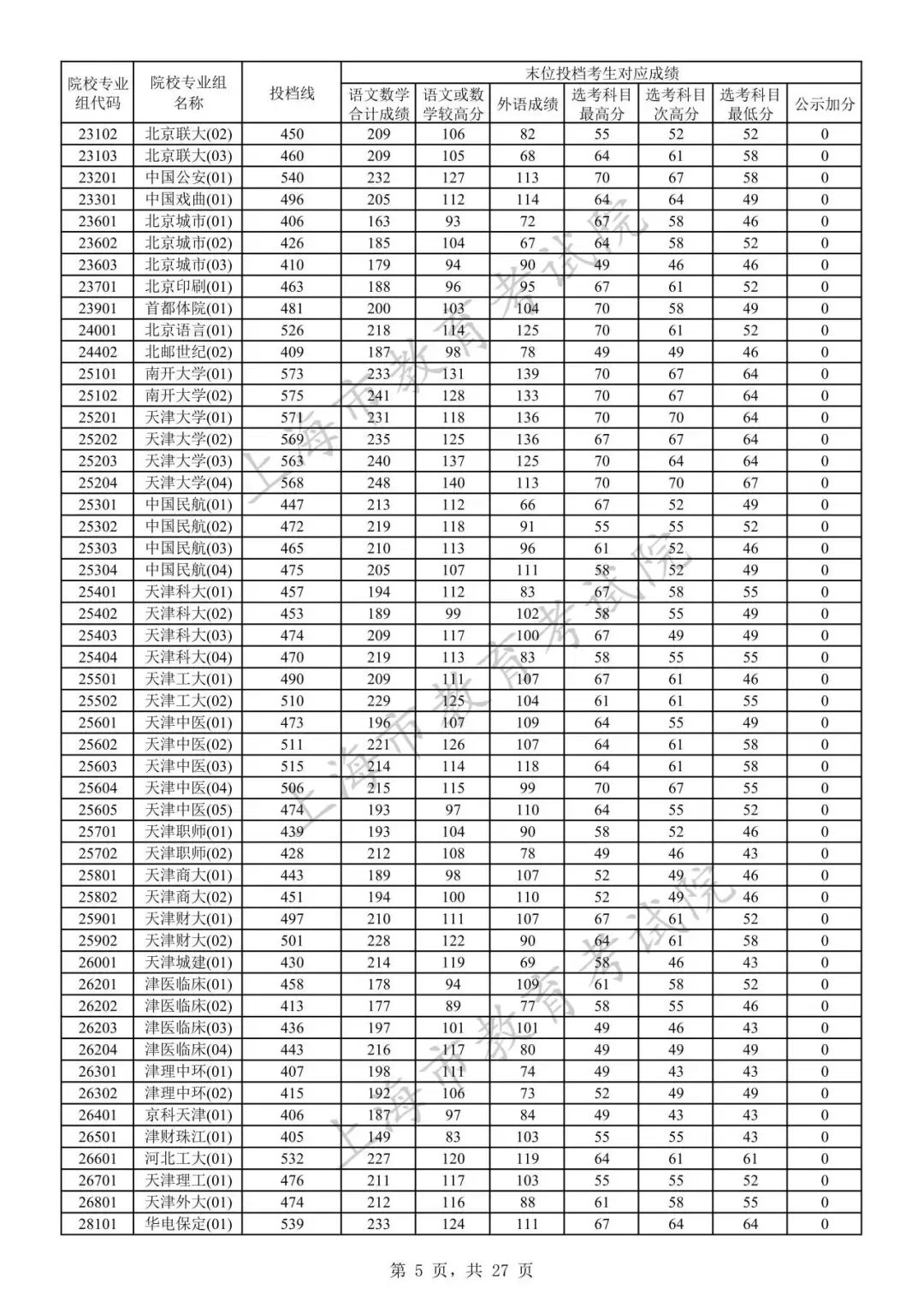
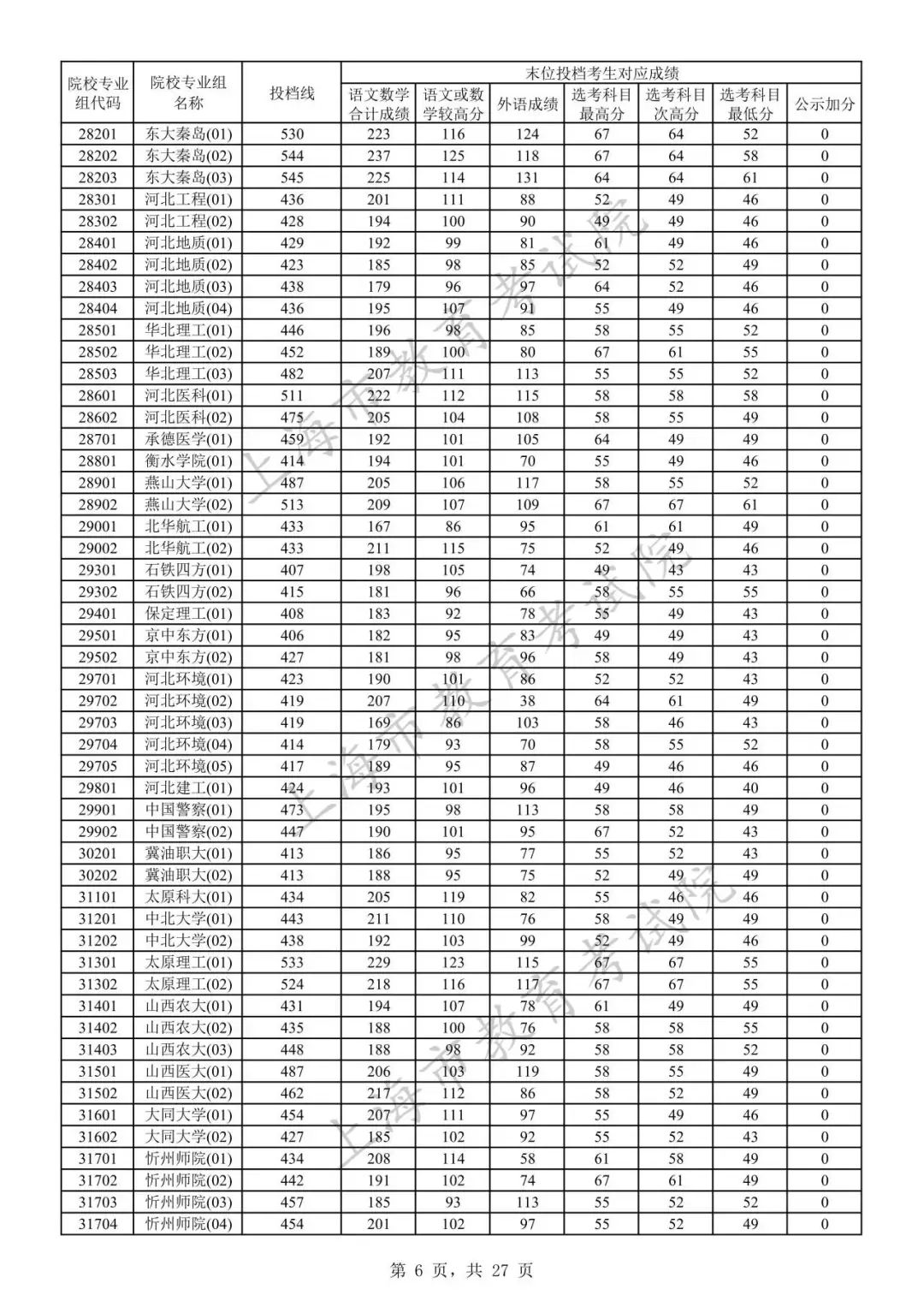
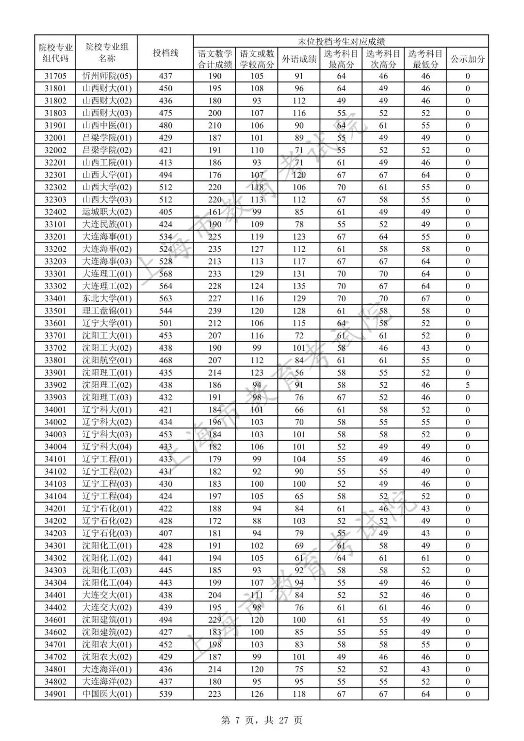
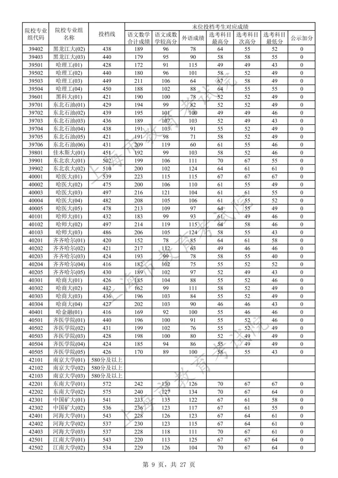
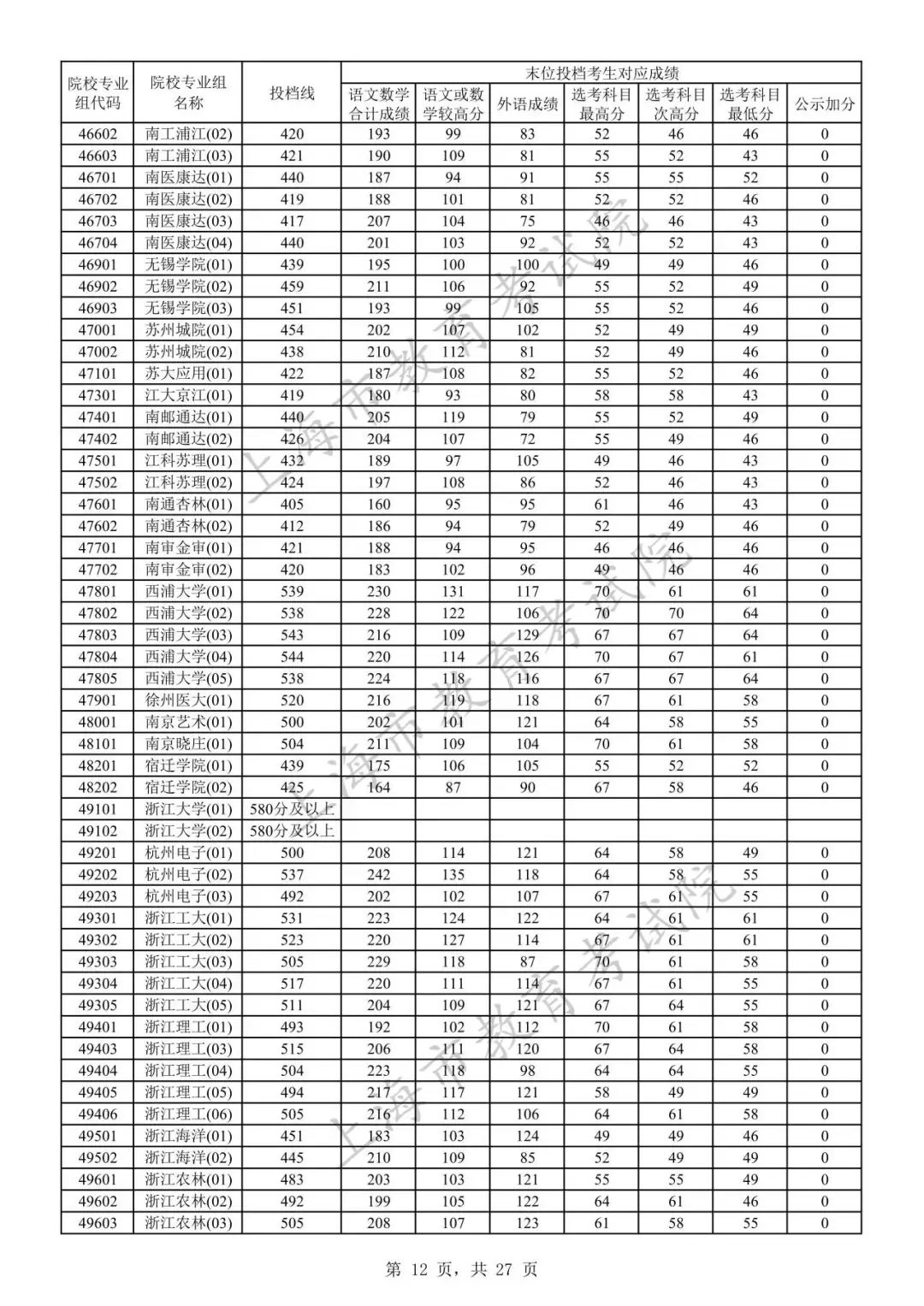
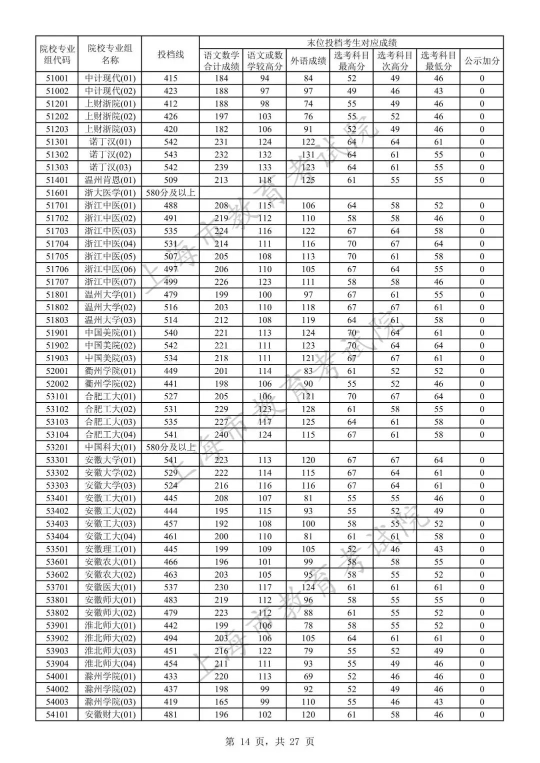
5. 问:如何看懂各院校专业组投档分数线?
答:院校专业组投档分数线不是事先划定的,而是在进行正式投档时,各院校专业组最末位进档的考生成绩即为该院校专业组投档分数线。
为贯彻落实教育部关于做好普通高考招生录取工作的有关要求,积极营造尊重考生兴趣选择的良好导向,避免发生炒作高分段考生投档情况等现象,投档分数线在580分及以上的院校专业组不再公布具体分数。参与本科普通批次投档且高考成绩在580分及以上考生的投档信息将由市教育考试院会同相关中学逐一告知考生。
580分以下的考生可根据自己的高考成绩以及所填报的志愿,按照以下方法对照公布的各院校专业组投档线,判断自己能否被投档或被投档到哪个院校专业组:

比如某考生高考成绩为569分,则他应根据自己填报的院校专业组志愿顺序进行比较,若考生填报的志愿顺序依次为武汉大学(02)[投档线572分]、北京航空航天大学(01)[投档线570分]、上海财经大学(03) [投档线568分]、中山大学(03)[投档线570分]……其中,1至2志愿投档线都高于考生成绩,第3志愿投档线低于考生成绩,则考生被投档到第3志愿上海财经大学(03),不会再看考生后面填报的志愿。
若考生的高考总分与院校专业组投档线相同,则要用本人成绩与该院校专业组的末位投档考生对应成绩来进行比较:
考生A的语文数学合计成绩238分与华东师范大学(02)末位投档考生成绩相同,语数单科较高成绩140分高于华东师范大学(02)末位投档考生的138分,故考生A被成功投档至华东师范大学(02)
考生B的语文和数学合计成绩238分、语数单科较高成绩138分均与华东师范大学(02)末位投档考生成绩相同,外语成绩133分低于华东师范大学(02)末位投档考生的136分,故考生B未能被投档至华东师范大学(02)。
需要提醒的是:考生被投档后,各高校按照公布的招生章程对投档考生开展专业录取工作,录取完成后才能确定考生是否被该院校录取、被录取至哪个专业。
6. 问:成功被投档至院校专业组后,一定会被招生院校录取吗?
答:由于本科普通批次平行志愿是根据各院校专业组实到计划按照1:1比例进行投档,因此考生若被投档至院校专业组后,大概率会被录取。从近年的录取情况来看,有极个别考生被院校专业组退档,原因是考生选择了不服从专业调剂,或不符合组内其他可调剂专业的体检、单科成绩限制等要求。
7. 问:本科控制线下考生还有没有机会被本科专业录取?
答:待本科普通批次第一次征求志愿录取结束后,若仍有院校专业组未完成计划且愿意降分录取,则将参加本科普通批次第二次征求志愿。
经研究决定,2023年上海市普通高校招生本科普通批次第二次征求志愿降分控制线为390分,高考总分在404分至390分之间的考生可以在第一次征求志愿录取结束后,关注“上海招考热线”网站上公布的“本科普通批次第二次征求志愿填报院校专业组缺额计划表”,选择其中愿意降分录取的相关院校专业组及专业进行填报。
8. 问:后期还有哪些事情需要关注?
答:7月26日,参加本科普通批次招生的考生可通过市教育考试院“上海招考热线”网站(www.shmeea.edu.cn)查询本科普通批次录取结果。未能被录取的考生仍可以通过填报本科普通批次两次征求志愿和专科阶段志愿来争取录取机会,相关填报安排如下:

建议考生珍惜宝贵的录取机会,合理填报相关志愿,密切关注“上海招考热线”网站发布的相关信息。