2023年上海市普通高校招生专科志愿填报将于8月2日-3日进行(附热点问答) 2023-08-01
2023年上海市普通高校招生专科志愿填报将于8月2日上午10:00至晚上11:00,3日上午8:00至上午10:00进行,市教育考试院将在上述时段于“上海招考热线”网站开通志愿填报通道,请考生在规定时间内填报志愿。
经审定,2023年上海市普通高校招生专科批次文化考试(语、数、外三门科目成绩总和,满分为450分)录取控制分数线、艺术类专业专科文化控制分数线、体育类专业专科文化控制分数线均为100分。建议语文、数学、英语三科成绩合计达到100分及以上的考生积极填报专科志愿。
请考生务必仔细研读各校招生章程,根据本人实际情况在专科提前批次、艺体类批次和普通批次中充分酝酿,合理选择心仪志愿。详见。
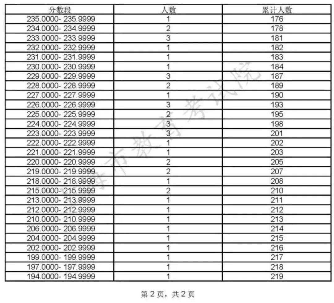
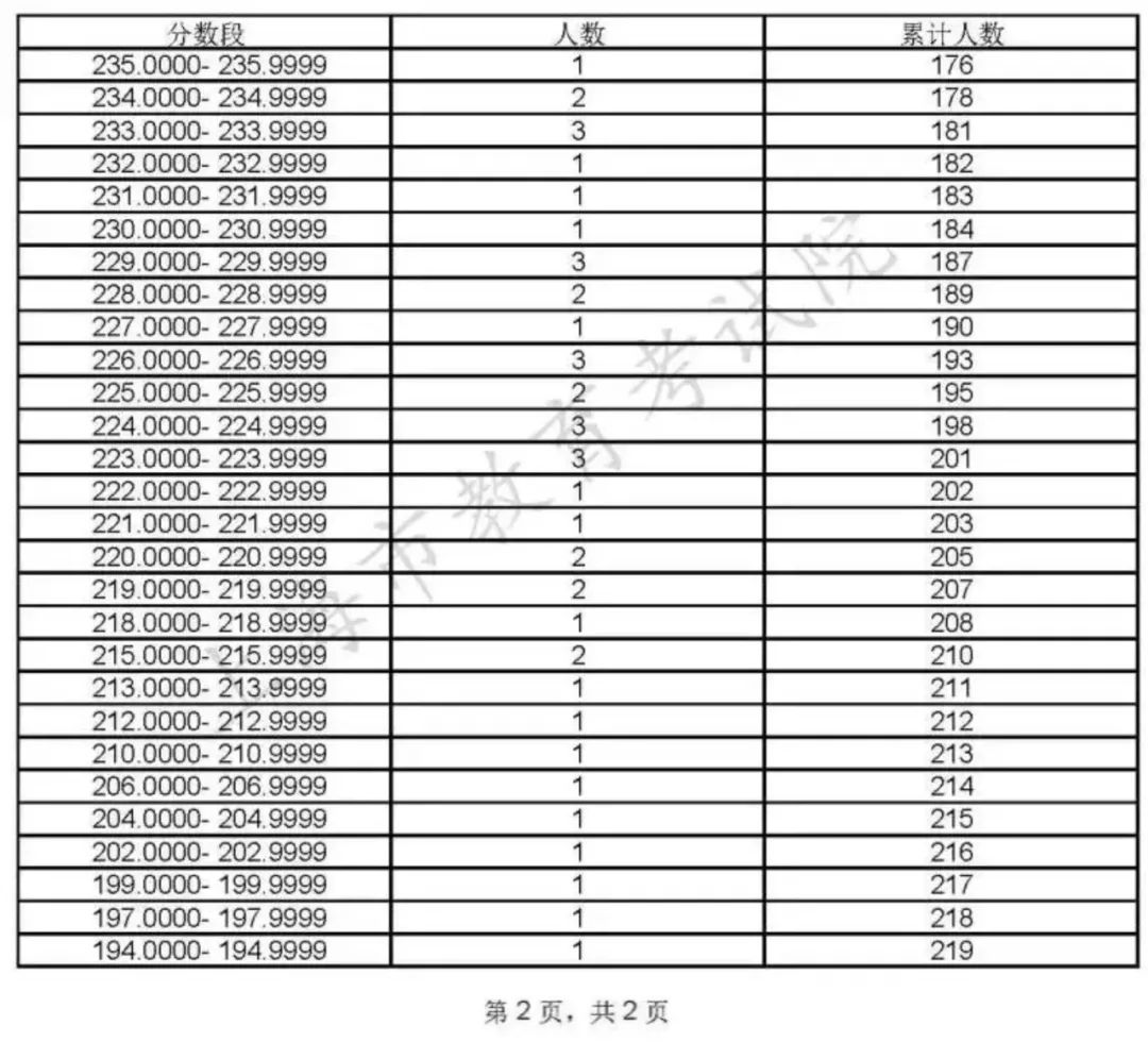
2023年专科阶段考生各类别成绩分布表公布,一起来看——
可参加专科志愿填报考生“语、数、外”三门成绩分布表





美术与设计学类专业统考合格考生投档成绩分布表


编导类专业统考合格考生投档成绩分布表


表演类专业统考合格考生投档成绩分布表

播音与主持艺术类专业统考合格考生投档成绩分布表

音乐学类(音乐表演-声乐)专业统考合格考生投档成绩分布表

音乐学类(音乐表演-器乐)专业统考合格考生投档成绩分布表

体育类专业统考合格考生投档成绩分布表


2023年上海市普通高校招生专科阶段志愿填报及录取问答来了,具体请看——
1.专科阶段设置哪些招生批次?分别可填报多少个院校志愿?
专科阶段设置专科提前批次、专科艺体类批次和专科普通批次。其中,专科提前批次设置2个顺序志愿,专科艺体类批次设置8个平行志愿,专科普通批次设置8个平行志愿。专科提前批次和艺体类批次志愿不得兼报。
2.专科阶段各批次录取控制分数线是多少?
2023年上海市普通高校招生专科各批次录取控制分数线具体如下:

3.哪些考生可以填报专科志愿?如何填报?
高考语文、数学、外语三门科目成绩总和达到100分的未被录取考生可填报专科相应批次志愿,其中填报专科艺体类批次志愿的考生,还须相应专业统考或校考成绩合格。截至目前,有资格填报专科志愿的考生有6003名,其中300分及以上的考生有138人。多年志愿填报结果显示,300分以上只有少数考生会选择填报专科志愿。
专科阶段志愿填报的时间为8月2日上午10:00至晚上11:00,3日上午8:00至上午10:00,考生可通过“上海招考热线”网站进入志愿填报界面填报志愿。
4.专科阶段的高考文化成绩如何构成?
专科阶段高考文化成绩由考生统一高考的语文、数学、外语三门科目成绩总和(满分450分)构成。
5.院校志愿中的专业志愿如何填报?
专科阶段以院校为志愿填报和投档录取的基本单位,考生在一个院校志愿内最多可选择填报6个专业志愿。若该院校下设的专业数不足6个,考生可按实际选择,填完即止。如果考生在某个院校志愿中喜欢的专业数超过6个,不能直接反映在志愿表中,只能填报依自己喜欢程度排序前6位的专业,其他专业的选择意愿可以通过“愿否专业调剂”的选项表达。
“愿否专业调剂”选项可选代码有“1、2、3、4”四个数字。其中,“1”表示全愿意调剂;“2”表示全不愿意调剂;“3”表示除高收费专业外愿意调剂;“4”表示除医科专业外愿意调剂。
需要提醒考生的是,在专科普通批次志愿填报时,鉴于平行志愿的录取规则,为降低退档风险,考生应选择“1”。
6.考生在填报专科志愿时,需注意些什么?
考生在填报志愿时,须注意以下问题:
(1)专科提前批次按顺序志愿方式投档,考生在填报时要特别重视按本人实际情况选择第一志愿;专科艺体类批次、专科普通批次按平行志愿方式投档,考生应在符合本人兴趣的前提下,适度拉开分差填报院校志愿,并尽可能选择“服从专业调剂”。
(2)专科提前批次中,部分院校还需前期通过面试或体检,或设有色觉异常或单科成绩限报要求,前期未通过面试、体检或不符合条件的考生不要填报相关志愿;特别需要提醒的是,上海健康医学院设有户籍限制要求,请考生根据自身实际情况对照相应专业要求进行填报,若考生不符合要求请不要填报。
(3)报考专科艺体类批次志愿的考生须专业统考或校考成绩合格。考生可在美术与设计学类、编导类、表演类、播音与主持艺术类、音乐学类(音乐表演—声乐)、音乐学类(音乐表演—器乐)和体育类中任选一种统考类别进行志愿填报;校考合格考生还可选择校考类别进行志愿填报。
(4)要看清院校招生专业要求,有部分院校不招收色盲、色弱考生,少数院校有单科成绩要求或户籍、性别、身高、视力、听力、外语语种等限制要求,考生要认真比对自身情况,不要填报不符合专业要求的志愿。
(5)统筹考虑所有批次志愿填报。即使比较有把握在专科提前批次或专科艺体类批次被录取的考生也不要放弃填报专科普通批次志愿。
(6)考生在填报志愿前需参考《2023年上海市普通高等学校招生专业目录》《2021-2022年上海市普通高等学校招生各专业录取人数及考分》和“2023年上海市普通高校招生可参加专科志愿填报考生‘语、数、外’三门成绩分布表”等信息,还可通过院校招生网站查询院校招生章程,或通过招生院校电话,了解具体要求,填报适合自己的院校和专业。
7.艺体类专业考试达到专业合格线,就一定要填报艺体类专业志愿吗?
不一定。艺体类专业考试达到专业合格线,可以选择不填报专科艺体类志愿而选择同时填报专科提前批次和专科普通批次专业志愿,也可以选择同时填报专科艺体类批次和专科普通批次志愿。
8.专科各批次的投档比例是多少?
专科提前批次原则上按1:1.2比例投档,已有专门规定的按规定比例投档。
专科艺体类批次中,根据考生高考成绩和专业统考成绩折算后产生的投档成绩先进行模拟投档,再根据实到院校计划数,按1:1比例正式投档。
专科普通批次先进行模拟投档,再根据实到院校计划数,按1:1比例正式投档。
9.专科阶段投档时,考生的先后位序如何确定?
专科普通批次投档时,根据考生的语文、数学、外语三门科目成绩总分(含公示加分)从高到低确定投档位序。
专科艺体类批次投档时,根据考生高考成绩和专业统考成绩折算后产生的投档成绩从高到低确定投档位序。
如有同分则按同分规则执行。
10.在专科艺体类批次,用统考成绩录取的院校,考生的文化成绩和专业成绩是如何折算产生投档成绩的?
美术与设计学类专科投档成绩=文化成绩*50%+专业统考成绩*450/450*50%
编导类专科投档成绩=文化成绩*50%+专业统考成绩*450/300*50%
播音与主持艺术类专科投档成绩=文化成绩*50%+专业统考成绩*450/400*50%
表演类专科投档成绩=文化成绩*30%+专业统考成绩*450/500*70%
音乐学类(音乐表演—声乐)专科投档成绩=文化成绩*30%+专业统考成绩*450/300*70%
音乐学类(音乐表演—器乐)专科投档成绩=文化成绩*30%+专业统考成绩*450/300*70%
体育类专科投档成绩=文化成绩*30%+专业统考成绩*450/100*70%
11.专科阶段投档时,高考总分相同的考生该如何排序?
(1)专科普通批次同分考生的排序规则为:
第1位序,比较语文加数学两门合计成绩高低,高者优先。
第2位序,比较语文或数学中单科成绩高低,高者优先。
第3位序,比较考生志愿顺序,按各自顺序分别投档,志愿顺序相同的同分同位考生同时投档。
(2)专科艺体类批次同分考生的排序规则为:
第1位序,比较专业统考成绩,高者优先。
第2位序,比较语文加数学两门合计成绩高低,高者优先。
第3位序,比较语文或数学中单科成绩高低,高者优先。
第4位序,比较考生志愿顺序,按各自顺序分别投档,志愿顺序相同的同分同位考生同时投档。
12.已被投档可以自愿放弃录取么?
凡按志愿投档且符合录取条件的考生,不得以“自愿放弃”为由要求退档。
13.被专科提前批次或艺体类批次招生高校(专业)录取了,能否放弃而参与后面批次志愿的录取?
不可以。被专科提前批次或艺体类批次招生高校(专业)录取后,后面的其他批次志愿就自然失效,不能再参与后面院校志愿的投档录取。
14. 未被专科提前批次或艺体类批次录取,是否影响其后普通批次的投档录取?
未被专科提前批次或艺体类批次录取的考生不影响后续批次的录取。
15.专科阶段设几次征求志愿?填报资格如何设定?
专科提前批次、艺体类批次、普通批次均设置1次征求志愿,安排在专科普通批次录取完成之后,同时进行。所有高考文化成绩达到100分的未录取考生均有填报资格,但填报专科艺体类批次征求志愿的考生须具有专业统考或校考合格成绩;部分院校专业组仍设有单科成绩要求或户籍、性别、身高、视力、听力、外语语种等限制要求,考生要认真比对自身情况,不要填报不符合专业要求的志愿。
待专科普通批次平行志愿录取结束后,考生可从“上海招考热线”网站(www.shmeea.edu.cn)上查阅“征求志愿专业计划缺额表”,8月8日9:00至16:00,登录“上海招考热线”网站(www.shmeea.edu.cn)填报自己愿意去的院校与专业。专科普通批次征求志愿可填报的院校志愿数量不限,每所院校志愿最多可以填报6个专业志愿,也实行平行志愿投档模式。
16.专科阶段录取进程如何安排?

注:根据录取进展情况,相关信息发布时间和录取结果查询通道开通时间可能提前,请考生关注“上海招考热线”网站发布的信息。