2026年上海春招志愿填报最低成绩控制线确定!(附成绩分布表、问答等) 2026-01-22 来源:上海发布
市教育考试院介绍,2026年上海市普通高校春季考试招生志愿填报最低成绩控制线为251分,春考成绩分布表、招生专业计划、春考整体情况介绍等,详见。
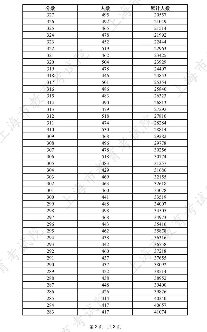
春考成绩分布表



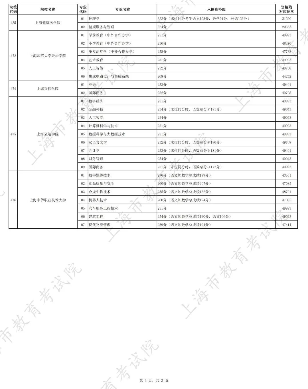
以下是2025年、2024年上海市普通高校春季考试成绩分布表及各校招生专业自主测试资格线汇总,供参考。












春考招生专业计划







上海市教育考试院负责人
就2026年春季高考成绩公布
答记者问
问:请介绍一下春考的整体情况?
答:2026年春考有7万余名考生报名参加,同时段还进行了2026年统一高考外语科目考试(1月)和高中学业水平语文、数学、外语合格性考试。全市各级教育、考试部门及保障单位协同配合,确保了考试组织等各项工作落实到位,考试安全平稳。
问:春考成绩公布后,想要参加春季招生的考生应该做什么?
答:按照既定日程,春季招生志愿填报安排于2026年1月30日9:00-22:00,1月31日9:00-16:00在上海市教育考试院“上海招考热线”网站(www.shmeea.edu.cn)上进行。
依据春季考试招生政策,填报志愿的考生春考成绩总分(含政策性加分)必须达到2026年上海市普通高校春季考试招生志愿填报最低文化成绩控制线。其中应届高中毕业考生须取得思想政治、历史、地理、物理、化学、生物学、信息技术7门科目高中学业水平合格性考试的合格成绩。
符合条件的考生可以通过各招生院校的招生章程,规划自己想要填报的院校及专业,了解相关招生要求,特别要注意设置男女比例、身体条件等要求的招生专业,确保自己符合条件才能填报。各招生院校也会在招生章程中注明综合素质评价信息的使用办法,考生也应提前查阅知晓。
问:请介绍一下春季招生院校的情况?
答:2026年有26所试点院校参加春季招生,116个招生专业均为各校特色专业或应用型本科试点专业,共计3639个招生计划,与2025年相比,增加了100个计划。
2026年春季招生中,部分院校新增了招生专业,比如上海大学的“数学与应用数学”“机器人工程”专业;上海应用技术大学的“园艺”专业;上海工程技术大学的“交通运输”专业;上海电机学院的“电气工程及其自动化”专业;上海戏剧学院的“戏剧学”“戏剧教育”“数字演艺设计”“广播电视编导”“影视摄影与制作”专业;上海杉达学院的“土木工程”专业;上海外国语大学贤达经济人文学院的“阿拉伯语”“艺术教育”“新闻学(双语班)”“商务英语”“国际经济与贸易(全英语教学班)”专业;上海师范大学天华学院的“应用心理学(中外合作办学)”专业;上海立达学院的“应用心理学”“广播电视编导”专业,以及上海中侨职业技术大学的“工程造价”“人工智能工程技术”“食品营养与健康(中外合作办学)”专业等。
问:春季招生可以填报几个志愿?
答:春季招生继续采取“一档两投”的投档方式。具有春季招生志愿填报资格的考生最多可以填报2个专业志愿。这2个专业志愿可以是同一所院校的2个专业,也可以是2所院校的各1个专业。
问:春季招生院校自主测试线如何确定?
答:2026年春季招生仍采用“统一文化考试+院校自主测试”的招生方式。待志愿填报结束后,各招生院校会根据填报志愿考生成绩及公布的招生计划按相应比例划定自主测试资格线。
根据市教委文件规定,各院校确定自主测试资格线时必须遵守以下原则:即公办院校通知参加自主测试的考生数不得超过公布计划数的2倍,民办院校通知参加自主测试的考生数不得超过公布计划数的3倍。2月5日,各招生院校公布各招生专业的自主测试资格线及测试安排,考生可以通过报考院校的网站查阅,并根据院校的安排参加自主测试。
问:春季招生院校自主测试一般采取何种方式?填报同一所高校两个专业志愿的考生是否只需参加一次自主测试就可以了?
答:根据各校公布的招生章程,春季招生院校自主测试一般分为面试、技能测试、专业素质综合测试以及笔试面试相结合的方式进行。考生在参加自主测试前务必仔细对照各招生院校的招生章程了解相关信息。填报同一所高校两个专业志愿的考生,若两个专业的自主测试方式及内容不同,也须根据招生院校的安排分别参加两个专业的自主测试。具体请仔细查阅相关招生院校的自主测试实施方案。
问:参加春季招生院校自主测试需注意哪些方面?
答:2月5日各招生院校会在学校官网公布各招生专业的自主测试资格线及测试安排。符合条件意向参加春季招生院校自主测试的考生,需及时关注各招生院校公布的春季招生自主测试实施方案,根据专业测试要求提前备考,并严格遵守各校公布的自主测试相关要求参加考试。
问:获得院校自主测试资格的考生,如果没有参加院校自主测试,成绩如何计算?
答:根据市教委文件规定,参加春季招生志愿填报并获得院校自主测试资格的考生,如果没有参加院校自主测试,其自主测试成绩按零分计入总分,并参与院校后续录取排序。所以要特别提醒考生,务必根据个人意向,填报愿意就读的春季招生志愿。
问:招生院校如何确定预录取考生和候补录取考生名单?
答:各院校根据事先公布的招生章程,按照统一文化考试成绩和院校自主测试成绩,并参考普通高中学生综合素质评价信息择优录取,公布预录取考生名单和候补录取考生名单。预录取数不超过各校公布的计划数;其余考生可依序公布为候补录取考生,具体人数由各校自行确定。各校春招章程中已对候补录取的考生比例做了具体规定。
问:考生如果被春季招生院校预录取了,是否还能参加后续的普通高校招生考试?
答:不能。根据市教委文件规定,通过春季考试招生录取的考生(含列入候补资格名单并最终被录取的考生)视为已被高校录取。考生无论是否与院校确认录取,一律不得参加《上海市教育委员会关于做好2026年上海市普通高校考试招生报名工作的通知》(沪教委学〔2025〕47号)规定的其他考试(包括2026年专科层次依法自主招生、秋季统一高考等)。