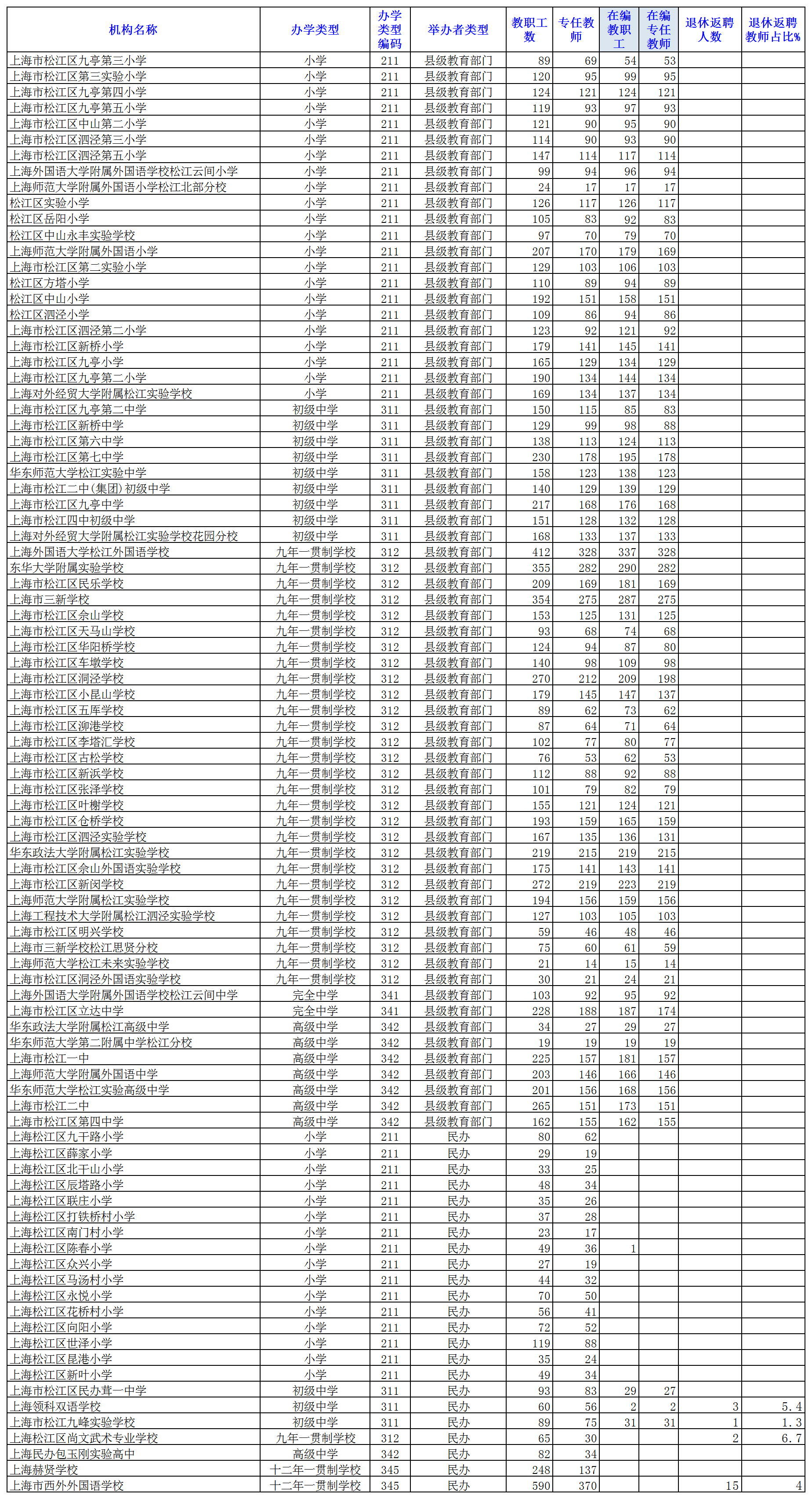
2024年松江区义务教育阶段教职工情况

字号:

2024年义务教育阶段教职工情况_教职工总数.png2024年义务教育阶段教职工情况_初中教师.png2024年义务教育阶段教职工情况_小学教师.png

分享: